雙向壓硬密封法蘭蝶閥
近年來,我國金屬硬密封蝶閥發展很快,其主要結構是偏心蝶閥。偏心結構蝶閥的蝶板與閥座之間的密封是靠傳動裝置的力矩使蝶板壓向閥座實現的,閥桿啟閉扭矩越大,閥座的密封性能越好。對于介質雙向受壓密封的管道,當介質正向流動時,介質壓力使密封比壓增大.提高密封性能;介質反向流動時,介質壓力使蝶板與閥座之間的密封比壓減小,有可能發生泄漏,偏心結構金屬硬密封蝶閥不能完全保證反向介質流動的密封。隨著我國南水北調工程的開展、長輸管線的不斷建設以及工業環保、水處理、高層建筑、給排水管路改造,對蝶閥的密封性能也提出了更高的要求,既要保證蝶閥在正向狀態能夠密封,也要在反向狀態能夠保證密封,因此,介質雙向流動都能保證密封的雙向壓硬密封蝶閥得到國內閥門行業的關注。本文通過分析偏心蝶閥的密封力和閥桿變形,提出一種雙向壓金屬硬密封蝶閥。
1 偏心蝶閥密封力分析
1.1 密封力分析

圖 1 偏心蝶閥結構示圖
偏心蝶閥結構見圖 1,主要由閥體、蝶板、閥桿和填料組成。圖 1 中L為閥桿回轉中心與閥體密封面的偏心距離(mm)。偏心蝶閥在介質正向流動實現密封功能時,閥桿扭矩在蝶板密封面施加的必需密封力為 FMF(N)。但由于介質力FMJ(N)的作用,使密封面的實際密封力增大到FMZZ,此時,密封面的實際密封力 FMZZ 為必需密封力 FMF和介質力 FMJ 之和,即:
FMZZ=FMF+FMJ(1)
其中:FMF=qMFA
式中,qMF 為為密封面必需密封比壓,MPa;A 為密封面受壓面積,mm2。
FMZZ 在密封面形成的密封比壓由下式計算:
qz=FMZZ/A>qMF(2)
式中,qz 為密封面正向密封比壓,MPa。
偏心受反向介質力作用時,在同樣的閥桿扭矩和介質力作用下,密封力為:
FMZF=FMF-FMJ(3)
式中,FMZF 為密封面的反向密封力,N。
FMZF 在密封面形成的密封比壓由下式計算:
qF=FMZF/A<qMF(4)
式中,qF 為密封面反向密封比壓,MPa。
分析式(2)和式(4)可知,偏心蝶閥在正向介質力作用時,密封面的密封力 FMZZ是閥桿作用力和正向介質力作用之和,介質正向流動容易實現密封。介質在反向流動時,由于介質力的作用,密封力減小,反向密封比壓 qF 小于正向密封比壓 qZ,且 qZ<qMF,介質反向流動時不能保證密封。
必需密封力 FMF 是由閥桿施加在蝶板密封面上的作用力,正向密封時閥桿施加在蝶板密封面上的作用力是必需密封力。若使介質反向流動時能夠保證密封,即qF≥qMF,則:
FMZF=FMF+FMJ-FMJ=FMF (5)
由此可知,反向密封時閥桿施加在蝶板密封面上的作用力為必需密封力與介質力之和,反向密封時閥桿施加在蝶板密封面上的作用力大于正向密封時閥桿作用力。
1.2 閥桿彎曲變形對密封影響的分析

圖 2 閥桿受力簡化圖
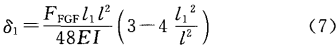
由于反向密封時閥桿施加在蝶板密封面上的作用力大于正向密封時閥桿作用力,因此,僅對介質反向流動時閥桿彎曲變形對偏心蝶閥的密封影響進行分析。介質反向流動,閥桿在克服密封面作用力的同時,還要克服介質力對閥桿的正壓力。將閥桿受力簡化為簡支梁,見圖 2。圖 2 中 A、B兩點為閥體對閥桿的支點,C、D兩點是閥桿的受力點,作用力為FFGF/2(FFGF為蝶板密封面力和介質力對閥桿的作用力,N),根據力的平衡原理有:
FFGF=FMF+2FMJ (6)
FFGF 對閥桿產生的彎曲變形量為:

式中,δ1為閥桿彎曲變形量,l1、l2分別為AC和DB距離,通常取 l1=l2,l為A、B 兩點距離,mm;E為彈性模量,GPa;I為慣性矩,N·s2·m。
由于密封力和介質作用力的共同作用使得閥桿發生彎曲變形,變形量為δ1。當介質正向流動時,閥桿向密封面方向彎曲,閥桿變形有利于密封。介質反向流動時,閥桿向遠離密封面方向彎曲,蝶板隨著閥桿彎曲脫離密封面,密封力減小,不能保證密封。由以上分析可知,當介質反向流動時,由于介質力的反向作用,偏心蝶閥不能保證可靠的密封功能。為了解決此問題,我們研制了一種新型的雙向壓金屬硬密封蝶閥。
2 雙向壓金屬硬密封蝶閥結構
2.1 結構

圖 3 雙向壓金屬密封蝶閥結構
雙向壓金屬密封蝶閥結構見圖 3。主要由下楔塊軸、閥體、蝶板、閥桿、上楔塊軸、填料、閥蓋、填料壓蓋及導向塊等組成。其工作原理是,在開啟狀態,閥桿右旋,導向塊引導閥桿帶動蝶板向右旋轉90°,使蝶板密封面與閥體密封面處于平行位置,閥桿繼續右旋,導向塊引導閥桿向下運動,推動上、下楔塊,使楔塊楔面推動蝶板和閥體密封面接觸,蝶閥關閉,實現密封;在關閉狀態,閥桿左旋,導向塊引導閥桿向上移動,推動上、下楔塊作向上運動,楔塊楔面帶動蝶板平移,蝶板密封面和閥體密封面脫離,蝶板移動一定的偏心距離后,閥桿繼續左旋,導向塊引導閥桿旋轉,并帶動蝶板向左旋轉90°,蝶閥開啟。由于蝶板相對于閥體密封面偏移一定距離后旋轉,因此蝶板開啟和關閉時不和閥體密封面產生干涉。
閥桿上、下部位設置的楔形塊的推力能夠克服介質反向流動的壓力,使蝶閥在介質雙向流動的工況下實現可靠的密封。蝶板上設置了楔形燕尾梢,閥桿做上、下運動帶動楔形塊運動,楔形塊位移對蝶板密封面施加密封力,提高了蝶閥的密封性能,同時能夠補償密封副的磨損,提高了金屬密封蝶閥可靠性。楔形塊的楔面在蝶板楔形燕尾槽內推動蝶板作往復直線運動,使蝶板接觸或脫離閥體密封面,減小密封面的擦傷。蝶板先直線運動,然后旋轉運動,延長了蝶閥的開啟和關閉時間,減小了蝶閥的水動力矩。蝶板密封面和閥體密封面均為錐面,密封可靠,設計和加工簡單。
2.2 密封分析

圖 4 上、下楔塊的彎曲變形分析
雙向壓金屬密封蝶閥結構特點是上、下楔塊軸與閥體軸孔為過渡配合,上、下楔塊軸孔與閥桿為間隙配合。介質反向流動時,向下推動上、下楔塊,上、下楔塊推動蝶板向閥體密封面施加密封力,蝶板密封力和介質壓力使上、下楔塊軸發生彎曲變形,由于上、下楔塊軸孔與閥桿是間隙配合,上、下楔塊軸彎曲變形不致影響閥桿發生彎曲變形,閥桿在蝶閥啟閉過程中只受拉伸和壓縮。上、下楔塊的彎曲變形見圖 4。圖 4 中上、下楔塊的受力簡化為懸臂梁,A 點固定,為閥體對楔塊的支撐點,B點為上、下楔塊的受力點,作用力為FMF/2,則彎曲變形量為:
δ2=FFGFl13/(6EI) (8)
式中,δ2為上、下楔塊軸彎曲變形量,l1為 A、B兩點距離,mm。
由式(7)和式(8)得:

在實際設計中,由于l遠大于211,故δ1>δ2,可知偏心蝶閥閥桿彎曲變形量大于雙向壓金屬密封蝶閥上、下楔塊軸的彎曲變形量。
雙向壓金屬密封蝶閥上、下楔塊軸布置在閥腔上、下部位,適當增加上、下楔塊軸橫截面積,即增大慣性矩I,增加了閥桿剛度,使變形量δ2為減小,不會使蝶閥的流體阻力過大。上、下楔塊軸孔與閥桿的配合間隙大于或等于變形量δ2,則上、下楔塊的變形不會引起閥桿產生彎曲變形。上、下楔塊進一步推動閥桿,增大楔形塊的楔緊力,蝶板獲得更大的密封力,可以補償變形量δ2引起的蝶板向密封面反向的微量移動,提高了反向密封的可靠性。
3 結語
雙向壓金屬密封蝶閥的特殊結構解決了偏心蝶閥介質反向流動時不能保證可靠密封的問題,其設計新穎、性能良好、結構相對簡單、容易制造且安裝操作方便。通過產品試制和密封試驗,達到了設計規定的密封耐壓效果。該閥適用于石油、化工、天然氣及供水等行業中有雙向流通需要的壓力管道。